Research

Picco et al. (2024)

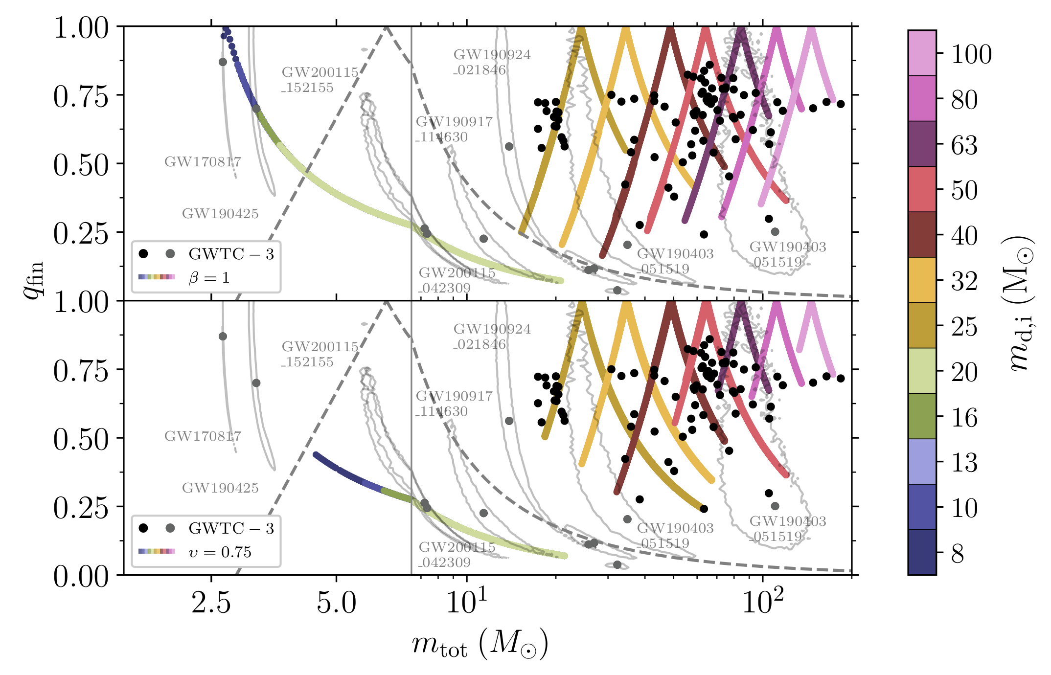
Forming merging double compact objects with stable mass transfer

Merging pairs of compact objects, such as black holes, neutron stars, and white dwarfs, are one possible outcome of the evolution of binary star systems, and they are the sources of all detected gravitational wave signals. Understanding how these systems form is crucial both for gravitational physics and for constraining stellar evolution. We study the potential of stable mass transfer, where a star steadily loses mass to its compact companion, to produce different combinations of compact objects that can merge within the age of the universe. Using published models of how stars respond to rapid mass loss and analytical calculations of orbital evolution, we determine the conditions needed for stable mass transfer and the resulting properties of the merging binaries. We find that stable mass transfer can produce almost all types of merging compact-object pairs, except for white dwarf–black hole systems, and that allowing mass outflow from the outer Lagrangian point changes which pairs can form. Comparison with observed binaries shows that these conditions exist in nature. This process can naturally produce merging black hole binaries with mass ratios consistent with those observed by gravitational wave detectors.
🔗 DOI: 10.1051/0004-6361/202347090


Picco et al. (2025)

HR 6819: an extreme binary system challenging our understanding of binary evolution

HR 6819 is a remarkable binary system composed of a puffed-up, low-mass stripped star and a rapidly rotating Be star — the first of its kind confirmed through optical interferometry. It stands out for its exceptional properties: the most extreme mass ratio known (about 15 to 1), the lowest-mass stripped star (around 0.27 times the mass of the Sun), and one of the shortest orbital periods among similar systems (just over 40 days). In this work, we explored whether the system could have formed through stable mass transfer, a process where one star donates matter to its companion through Roche lobe overflow. Using detailed stellar evolution models (MESA), we tested different scenarios with varying mass transfer efficiencies to see which combinations could reproduce the observed properties. Our results show that stable mass transfer alone cannot explain HR 6819’s current extreme mass ratio and tight orbit. Even in the most efficient case, the mass ratio remains well below the observed value. Moreover, the measured luminosities of both stars exceed what is expected from their masses, suggesting that the stripped star must be significantly more massive than currently inferred. These findings indicate that HR 6819 cannot be explained by standard binary evolution, making it an important system for testing and refining models of stellar interaction.
🔗 DOI: 10.1051/0004-6361/202556556


Picco et al. (in review)

Mergers via failed common envelope as a route towards intermediate-mass stripped stars

Stars that have lost their hydrogen-rich envelopes — known as stripped stars — are well-established outcomes of binary interactions. Binary mergers are recognized as the main way to form low-mass hot subdwarfs, and are also thought to produce massive single Wolf–Rayet stars at low metallicity. Recently, a new population of intermediate-mass, helium-rich stars (Drout et al. 2023) has been discovered, bridging the mass gap between subdwarfs and Wolf–Rayets. This offers a unique opportunity to test whether stellar mergers can explain stripped stars across the full mass range. In this work, we propose that mergers between two helium stars can create long-lived, intermediate- to high-mass stripped products. This formation path involves an initial stable mass transfer phase that exposes the helium core of the primary star, followed by rejuvenation and expansion of the secondary, and finally a common-envelope merger of the two helium cores. Using detailed binary evolution models, we explore the initial conditions and population properties of such merger products. Our results show that stable mass transfer between two main-sequence stars of similar mass at low metallicity most efficiently leads to intermediate-mass, long-lived helium stars — consistent with the observed properties of the newly identified population.


Villasenor, Lennon, Picco et al. (2022)

VFTS 291: a stripped star from a recent mass transfer phase

Recent studies of massive binaries with suspected black hole companions have revealed a previously unseen phase of binary evolution — a bloated stripped star that has only recently stopped transferring mass to a main-sequence companion. One such system is VFTS 291, a binary in the Tarantula Nebula with an orbital period of 108 days and a high velocity amplitude. Spectral analysis shows a narrow-lined star of about 1.5–2.5 M⊙ and a 13 M⊙ B-type main-sequence companion, suggesting that the lower-mass star has been stripped of its hydrogen envelope following mass transfer. Our detailed binary evolution models reproduce the observed configuration remarkably well. We find that VFTS 291 can be explained by an initial binary consisting of an 8.1 M⊙ primary and an 8 M⊙ companion in a 7-day orbit that underwent stable mass transfer. The models naturally produce a bloated stripped star consistent with the observed luminosity and surface properties, as well as a rejuvenated, rapidly rotating companion. While some open questions remain—particularly regarding helium enrichment and rotation—our results support a coherent post-mass-transfer scenario for VFTS 291. This work highlights how detailed modeling of interacting binaries can uncover the physical pathways leading to the diverse products of massive binary evolution.
🔗 DOI: 10.1093/mnras/stad2533